Buckle Up: All 50 States, Ranked by How Likely You Are to Die in a Car Accident
Everyone knows driving is dangerous, if not from the gory low-budget movies they showed in drivers ed, then from the incessant phone calls you got from your parents the moment you turned 16. But just how dangerous, exactly? Turns out it varies wildly, depending on where you live.
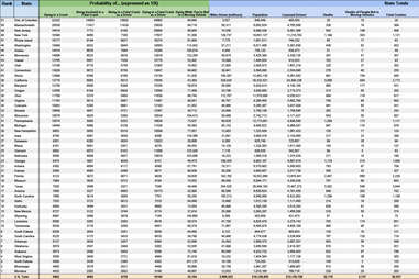
To get an overarching look at how deadly the roads are in all 50 states, plus DC, we combined government data from the National Highway Traffic Safety Administration and the Federal Highway Administration. (Check out the table at the end to see the raw numbers for yourself.) Here's every state, ranked by how likely you are to be killed in a car crash, plus some other terrifying factoids. Hint: be careful when you're out walking around in Florida.

51. Washington, DC
Probability of dying in a car crash: 1/32,322
Probability of being involved in a fatal car crash: 1/14,053
Total population: 646,449
Total licensed drivers: 405,555
Total number of deaths in 2013: 20
How is it possible that the city topping our Worst Damn Freeways in America ranking comes in as the least likely place to die in a car? Well, probably because the freeways are so damn awful, people drive less: with an average of 8,697 miles per driver per year, people stay away from the the known horrors of the streets.
50. Massachusetts
Probability of dying in a car crash: 1/20,530
Probability of being involved in a fatal car crash: 1/11,421
Total population: 6,692,824
Total licensed drivers: 4,765,586
Total number of deaths in 2013: 326
With just 1.05 vehicles per licensed driver, Massachusetts has among the fewest cars per capita in the country.
49. New Jersey
Probability of dying in a car crash: 1/16,419
Probability of being involved in a fatal car crash: 1/7,772
Total population: 8,899,339
Total licensed drivers: 6,081,386
Total number of deaths in 2013: 542
This one really shouldn't be all that surprising, given the number of people who take trains into NYC every day.
48. New York
Probability of dying in a car crash: 1/16,390
Probability of being involved in a fatal car crash: 1/8,860
Total population: 19,651,127
Total licensed drivers: 11,210,723
Total number of deaths in 2013: 1,199
The average New York driver actually drives a little bit more (12,154 miles) than the national average each year, though only 70% of all New Yorkers over the age of 16 actually have a license, and there's less than one car per licensed driver.
47. Rhode Island
Probability of dying in a car crash: 1/16,177
Probability of being involved in a fatal car crash: 1/9,144
Total population: 1,051,511
Total licensed drivers: 749,232
Total number of deaths in 2013: 65
Despite low overall numbers, a majority of fatal accidents in Rhode Island are single-car collisions.

46. Washington
Probability of dying in a car crash: 1/15,989
Probability of being involved in a fatal car crash: 1/8,032
Total population: 6,971,406
Total licensed drivers: 5,301,630
Total number of deaths in 2013: 436
Nearly 96% of Washington's of-age population has a license, but they don't drive all that much, averaging 8,949 miles per car.
45. Alaska
Probability of dying in a car crash: 1/14,414
Probability of being involved in a fatal car crash: 1/6,870
Total population: 735,132
Total licensed drivers: 528,873
Total number of deaths in 2013: 51
How many miles does the average Alaskan vehicle see in a year? It's 6,169. Of course, that could also be the height in inches of annual snowfall, so there's a reasonably correlative relationship here.
44. Minnesota
Probability of dying in a car crash: 1/14,006
Probability of being involved in a fatal car crash: 1/6,523
Total population: 5,420,380
Total licensed drivers: 3,330,725
Total number of deaths in 2013: 387
Despite having more roads than all but four states, Minnesotans are among the least likely to get their licenses. Those that do, though, rack up over 17,000 mile per year, and are among the most likely to slam into someone else.
43. Hawaii
Probability of dying in a car crash: 1/13,765
Probability of being involved in a fatal car crash: 1/6,951
Total population: 1,404,054
Total licensed drivers: 915,033
Total number of deaths in 2013: 102
Hawaii has the fewest miles of road of any state in the union, and it's also among the roughest. Unsurprisingly, Hawaii has the fewest miles of road per fatal crash (48) of any state.
42. Utah
Probability of dying in a car crash: 1/13,186
Probability of being involved in a fatal car crash: 1/6,778
Total population: 2,900,872
Total licensed drivers: 1,661,219
Total number of deaths in 2013: 220
With 16,256 miles per driver, you might expect Utah to have more than 46,254 miles of road. Then again, one of the prime allures of the state is what you can do without roads.

41. Connecticut
Probability of dying in a car crash: 1/13,029
Probability of being involved in a fatal car crash: 1/6,672
Total population: 3,596,080
Total licensed drivers: 2,534,090
Total number of deaths in 2013: 276
Most adults in Connecticut have a license, and while they drive almost as much as the national average, one out of every 7,615 registered vehicles will be involved in a fatal accident each year.
40. Illinois
Probability of dying in a car crash: 1/12,999
Probability of being involved in a fatal car crash: 1/6,390
Total population: 12,882,135
Total licensed drivers: 8,261,582
Total number of deaths in 2013: 991
Even with the fourth most roads in the country, Illinoisans (Illini?) are actually pretty good about not putting themselves in life-threatening situations.
39. California
Probability of dying in a car crash: 1/12,778
Probability of being involved in a fatal car crash: 1/6,063
Total population: 38,332,521
Total licensed drivers: 24,390,236
Total number of deaths in 2013: 3,000
You're not actually better off in the car in California, but with a 1/43,363 chance of getting killed by a car even if you're not in a moving vehicle, it kinda seems like it sometimes.
38. Maryland
Probability of dying in a car crash: 1/12,750
Probability of being involved in a fatal car crash: 1/6,480
Total population: 5,928,814
Total licensed drivers: 4,140,105
Total number of deaths in 2013: 465
Cars in Maryland see 14,787 miles each year, despite having just 32,422 miles of road in the state. That probably speaks to the nightmare of commuting from the outskirts of DC more than anything else, but there's still less than one car per driver for the entire state.
37. Oregon
Probability of dying in a car crash: 1/12,556
Probability of being involved in a fatal car crash: 1/6,189
Total population: 3,930,065
Total licensed drivers: 2,773,373
Total number of deaths in 2013: 313
Oregon likes to consider itself a bicycle-friendly state, and with just 55 fatalities among people not inside a moving vehicle, there might very well be something to that.

36. Ohio
Probability of dying in a car crash: 1/11,700
Probability of being involved in a fatal car crash: 1/5,374
Total population: 11,570,808
Total licensed drivers: 8,030,421
Total number of deaths in 2013: 989
Interestingly, Ohio tied for the highest average number of vehicles per collision, with 1.62. In other words, people in Ohio are statistically less likely to hit stationary objects.
35. Virginia
Probability of dying in a car crash: 1/11,163
Probability of being involved in a fatal car crash: 1/5,813
Total population: 8,260,405
Total licensed drivers: 5,602,765
Total number of deaths in 2013: 740
The average Virginian drives over 14,400 miles each year, though less than 85% of those eligible actually hold a license.
34. Colorado
Probability of dying in a car crash: 1/10,953
Probability of being involved in a fatal car crash: 1/5,295
Total population: 5,258,367
Total licensed drivers: 3,837,488
Total number of deaths in 2013: 481
Only three states have more deaths per collision than Colorado, though the reasons for that could be anything from high rates of SUV usage to carpooling.
33. Nevada
Probability of dying in a car crash: 1/10,649
Probability of being involved in a fatal car crash: 1/4,947
Total population: 2,790,136
Total licensed drivers: 1,756,095
Total number of deaths in 2013: 262
According to the statistics, there are two things you really don't want to be in Nevada: a pedestrian or a driver. Both have abnormally high death rates, while overall accidents and passenger deaths are pretty average.
32. Wisconsin
Probability of dying in a car crash: 1/10,576
Probability of being involved in a fatal car crash: 1/4,925
Total population: 5,742,713
Total licensed drivers: 4,171,427
Total number of deaths in 2013: 543
In somewhat of a paradox, Wisconsin ranks right up there with the best states for fewest deaths per fatality accident, but it's also one of the states with the most cars involved per collision.

31. Pennsylvania
Probability of dying in a car crash: 1/10,574
Probability of being involved in a fatal car crash: 1/5,095
Total population: 12,773,801
Total licensed drivers: 8,896,590
Total number of deaths in 2013: 1,208
Pennsylvania is a vastly different state between its eastern and western halves, and while numbers would probably paint a very different picture between the two, our data doesn't break down like that, and the state averages out to middle of the pack.
30. Michigan
Probability of dying in a car crash: 1/10,449
Probability of being involved in a fatal car crash: 1/5,069
Total population: 9,895,622
Total licensed drivers: 6,986,587
Total number of deaths in 2013: 947
Michigan is nearly 30% smaller than Pennsylvania by population, and while the statistics bear that out across most categories, Michiganders actually drive almost as many total miles as their Big Ten neighbors.
29. New Hampshire
Probability of dying in a car crash: 1/9,803
Probability of being involved in a fatal car crash: 1/5,805
Total population: 1,323,459
Total licensed drivers: 1,061,433
Total number of deaths in 2013: 135
A total of 97.6% of all legal-age New Hampshirites hold a valid driver's license. They combine for among the fewest cars involved per accident of any state. Which means a lot of single car accidents, and collisions with stationary objects. Go figure?
28. Iowa
Probability of dying in a car crash: 1/9,749
Probability of being involved in a fatal car crash: 1/4,867
Total population: 3,090,416
Total licensed drivers: 2,143,665
Total number of deaths in 2013: 317
Iowans have more cars per driver than all but three other states, but despite being so car-heavy, it's the third safest state for pedestrians.
27. Delaware
Probability of dying in a car crash: 1/9,351
Probability of being involved in a fatal car crash: 1/4,208
Total population: 925,749
Total licensed drivers: 723,657
Total number of deaths in 2013: 99
All things considered, Delaware is relatively safe for drivers, though it's one of the more dangerous states for pedestrian traffic.

26. Maine
Probability of dying in a car crash: 1/9,161
Probability of being involved in a fatal car crash: 1/4,901
Total population: 1,328,302
Total licensed drivers: 1,011,385
Total number of deaths in 2013: 145
Ninety-two percent of Maine's residents hold a license, averaging just under 14,000 miles per year.
25. Vermont
Probability of dying in a car crash: 1/9,082
Probability of being involved in a fatal car crash: 1/4,973
Total population: 636,630
Total licensed drivers: 543,057
Total number of deaths in 2013: 69
Amazingly, Vermont has more licensed drivers than residents over the age of 16. It also has a disproportionately large number of passenger fatalities along its 14,266 miles of road.
24. Nebraska
Probability of dying in a car crash: 1/8,856
Probability of being involved in a fatal car crash: 1/4,089
Total population: 1,868,516
Total licensed drivers: 1,374,529
Total number of deaths in 2013: 211
Nebraska's pedestrians are among the safest in the country, with fewer than one out of every 100,000 residents struck each year.
23. Georgia
Probability of dying in a car crash: 1/8,475
Probability of being involved in a fatal car crash: 1/3,987
Total population: 9,992,167
Total licensed drivers: 6,607,016
Total number of deaths in 2013: 1,179
Georgians put, on average, 14,055 miles on each car every year. Just two states top that, which makes Georgia's fatal crash-per-mile rate actually fairly good.
22. Indiana
Probability of dying in a car crash: 1/8,392
Probability of being involved in a fatal car crash: 1/4,004
Total population: 6,570,902
Total licensed drivers: 4,500,403
Total number of deaths in 2013: 783
Indiana's drivers actually average more miles per year than Georgia's, but they own more cars, too, with nearly one and a quarter per driver.

21. Kansas
Probability of dying in a car crash: 1/8,268
Probability of being involved in a fatal car crash: 1/4,093
Total population: 2,893,957
Total licensed drivers: 2,017,759
Total number of deaths in 2013: 350
Only Texas, California, and Illinois have more miles of road than Kansas, which is a major reason why Kansas has just one death for every 402 miles.
20. Florida
Probability of dying in a car crash: 1/8,123
Probability of being involved in a fatal car crash: 1/3.972
Total population: 19,552,860
Total licensed drivers: 13,670,441
Total number of deaths in 2013: 2,407
If you're not in a moving vehicle, you have a 1 in 29,627 chance of being killed by a car in Florida. The 660 people to meet such a fate in 2013 were by far the most in the US.
19. Missouri
Probability of dying in a car crash: 1/7,984
Probability of being involved in a fatal car crash: 1/3,835
Total population: 6,044,171
Total licensed drivers: 4,280,438
Total number of deaths in 2013: 757
Just over 1,000 cars were involved in a deadly crash in Missouri, according to the government.
18. Texas
Probability of dying in a car crash: 1/7,820
Probability of being involved in a fatal car crash: 1/3,586
Total population: 26,448,193
Total licensed drivers: 15,447,273
Total number of deaths in 2013: 3382
With over 330,000 miles of roads, Texas has nearly double that of California, the second-closest state.
17. Arizona
Probability of dying in a car crash: 1/7,805
Probability of being involved in a fatal car crash: 1/3,327
Total population: 6,626,624
Total licensed drivers: 4,791,450
Total number of deaths in 2013: 849
With a one in 32,805 chance, Arizona is second only to Florida in pedestrian deaths.

16. North Carolina
Probability of dying in a car crash: 1/7,640
Probability of being involved in a fatal car crash: 1/3,814
Total population: 9,848,060
Total licensed drivers: 6,822,902
Total number of deaths in 2013: 1,289
North Carolina's rate of one deadly crash per million miles driven isn't really all that bad.
15. Idaho
Probability of dying in a car crash: 1/7,533
Probability of being involved in a fatal car crash: 1/3,723
Total population: 1,612,136
Total licensed drivers: 1,111,485
Total number of deaths in 2013: 214
There are just over 48,000 miles of roads in Idaho, which means there's just one death for every 225 miles; that's among the better rates in the Union.
14. Kentucky
Probability of dying in a car crash: 1/6,889
Probability of being involved in a fatal car crash: 1/3,464
Total population: 4,395,295
Total licensed drivers: 3,019,283
Total number of deaths in 2013: 638
The average car in Kentucky sees fewer than 12,000 miles per year, while the average driver sees more than 15,500.
13. New Mexico
Probability of dying in a car crash: 1/6,727
Probability of being involved in a fatal car crash: 1/3,122
Total population: 2,085,287
Total licensed drivers: 1,456,500
Total number of deaths in 2013: 310
On average, there are more people killed per crash in New Mexico than most other states.
12. Wyoming
Probability of dying in a car crash: 1/6,697
Probability of being involved in a fatal car crash: 1/3,468
Total population: 582,658
Total licensed drivers: 421,473
Total number of deaths in 2013: 87
The average driver in Wyoming puts an incredible 22,087 miles on their vehicles every year. Note the emphasis on vehicles -- they also have nearly two cars per driver, second most of any state.

11. Louisiana
Probability of dying in a car crash: 1/6,580
Probability of being involved in a fatal car crash: 1/3,262
Total population: 4,625,470
Total licensed drivers: 3,278,143
Total number of deaths in 2013: 703
There's no one area where Louisiana stands out. It's just one large paved sea of sub par.
10. Tennessee
Probability of dying in a car crash: 1/6,529
Probability of being involved in a fatal car crash: 1/3,170
Total population: 6,495,978
Total licensed drivers: 4,605,100
Total number of deaths in 2013: 995
Tennessee has 1.18 registered vehicles on the road for every licensed driver, which means one out of every 3,894 cars will be involved in a fatal collision.
9. South Dakota
Probability of dying in a car crash: 1/6,258
Probability of being involved in a fatal car crash: 1/2,854
Total population: 844,877
Total licensed drivers: 603,643
Total number of deaths in 2013: 135
Despite the high death rate, SD actually has the fewest fatal accidents per mile, with just one incident per 682 miles of roadway.
8. South Carolina
Probability of dying in a car crash: 1/6,225
Probability of being involved in a fatal car crash: 1/3,175
Total population: 4,744,839
Total licensed drivers: 3,536,404
Total number of deaths in 2013: 767
Nearly 93% of South Carolinians hold a license, but that's not much solace to pedestrians, who fare only marginally better than Arizona and Florida.
7. Arkansas
Probability of dying in a car crash: 1/6,127
Probability of being involved in a fatal car crash: 1/3,038
Total population: 2,959,373
Total licensed drivers: 2,097,201
Total number of deaths in 2013: 483
At 13,852, Arkansans put more miles on each vehicle than all but five other states.

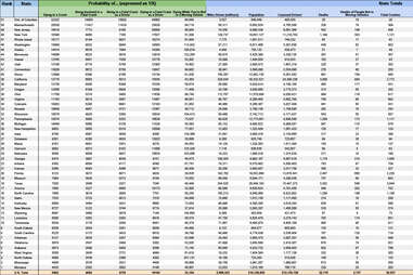
6. Oklahoma
Probability of dying in a car crash: 1/5,679
Probability of being involved in a fatal car crash: 1/2,547
Total population: 3,850,568
Total licensed drivers: 2,418,307
Total number of deaths in 2013: 678
Cause, meet effect: Oklahoma has a crash-per-mile rate that’s roughly in line with the other states in the top 10, but because OK drivers put so many miles on their car, they’re the second most likely to die in a crash. Simply put, it's because the average Oklahoman drives so much every year that death rate for drivers is the second highest in the country.
5. Alabama
Probability of dying in a car crash: 1/5,673
Probability of being involved in a fatal car crash: 1/2,889
Total population: 4,833,722
Total licensed drivers: 3,859,403
Total number of deaths in 2013: 852
Along with Virginia, Alabama is unusual in having more licensed drivers than residents over the age of 16.
4. West Virginia
Probability of dying in a car crash: 1/5,585
Probability of being involved in a fatal car crash: 1/2,840
Total population: 1,854,304
Total licensed drivers: 1,177,136
Total number of deaths in 2013: 332
Only Texas, New York, and Washington DC have lower rates of licensed drivers.
3. North Dakota
Probability of dying in a car crash: 1/4,888
Probability of being involved in a fatal car crash: 1/2,436
Total population: 723,393
Total licensed drivers: 513,838
Total number of deaths in 2013: 148
Good news and bad news for North Dakotans: pedestrians are far less likely to get hit in ND than any other state, and it's not even close. That said, drivers are most likely to die here, with one out of every 4,392 running out of luck, and one out of every 2,390 being involved in a crash that claimed a life.
2. Mississippi
Probability of dying in a car crash: 1/4,880
Probability of being involved in a fatal car crash: 1/2,516
Total population: 2,991,207
Total licensed drivers: 1,968,907
Total number of deaths in 2013: 613
Mississippians put 18,692 miles on the average vehicle, which is the most in the US by a wide margin. Then again, only Maryland, New York, and DC have fewer cars per driver.

1. Montana
Probability of dying in a car crash: 1/4,433
Probability of being involved in a fatal car crash: 1/2,302
Total population: 1,015,165
Total licensed drivers: 766,716
Total number of deaths in 2013: 229
Montana has the most cars per driver at just over two, and the second-highest number of deaths per fatality crash, behind New Mexico. Yet somehow, with just 1.31 vehicles involved per collision, it's the state where drivers are most likely to hit stationary objects. And yes, that also means it's on par with Florida for hitting pedestrians.

About the data
The data used here is from both the NHTSA's Fatal Accident Reporting System, and the FHWA.
The ranking itself is actually very basic: it's the total population of each state divided by the number of people killed in automotive accidents for the given year (2013).
The rest of the data involved, however, is where things get interesting:
Being Involved in a fatal crash: The NHTSA keeps such thorough accounts of every fatality accident that we know exactly how many people were in each vehicle for every single crash. Since surviving such an incident is inarguably a horrific and traumatizing experience, dividing the total population by the number of crashes is a sobering way to realize just how fragile life can be.
Being involved, as a driver: Simply put, the more you drive, the higher your chances of being involved in an incident. We took the population of licensed drivers and divided by the total number of accidents.
Dying in a crash, as a driver: Similar to being involved in a crash, because the NHTSA actually notes who was injured or killed while sitting where in a vehicle, we were able to calculate the odds of dying as a driver by dividing the licensed population by the number of people who died while driving.
Dying while you're not even in a moving vehicle: This includes pedestrians, bicyclists, people inside buildings that get driven into, and parked cars. Basically, anyone who's not out in traffic in a vehicle. As you might expect, it's the total population divided by the number of people who were struck and killed.
There are some problems with the data: While the statistics clearly show a trend toward safer urban driving, they are skewed in areas with well-developed mass transit. The percentage of people who have a license and don't drive is not accounted for in the data, and would potentially skew a few areas where car use is less prevalent.
Closing thoughts
It's more than a little somber to realize that every one of these numbers was caused by the death of someone's spouse, parent, or child. Still, the data is fairly conclusive that rural driving is far more likely to kill you than urban driving -- and the FHWA has the specific breakdowns of this on its site. This data didn't look into exactly why that is, but issues like proximity to first-rate medical care and vehicle speed -- since you're not crawling along in traffic -- are likely greater factors in rural areas.
Interestingly, the number of vehicles per crash doesn't appear to bear significant correlation to how many people die in each crash. Presumably, that number is more dependent on other factors (weather, intoxication, time of day), than it is on the violence of the collision itself.
Want more of the world's best Cars delivered straight to your inbox? Click here to sign up for our daily email.
Aaron Miller is the Cars editor for Thrillist, and can be found on Twitter. His closest call was during a road trip 15 years ago, on a rural stretch of I-35 in Texas.
